MUNICIPIOS RECIBEN 259 MILLONES DE PESOS DEL PROGRAMA ESPECIAL DE RESERVA ECONÓMICA
• Los 45 ayuntamientos participantes recuperan los recursos ahorrados durante 2025.
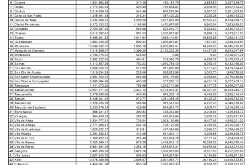
La Secretaría de Finanzas entregó 259 millones de pesos a los 45 municipios que formaron parte del programa especial de reserva económica, mecanismo mediante el cual cada ayuntamiento destinó una porción de sus participaciones federales durante 2025 con el fin de cubrir compromisos de fin de año, como el pago de aguinaldos y otras obligaciones laborales.
De acuerdo con la dependencia, Villa de Pozos fue el municipio que recibió el monto más alto, con cerca de 28 millones de pesos. Le siguieron Matehuala y Tamazunchale, con alrededor de 16 millones cada uno. Xilitla obtuvo 13 millones y Aquismón 11 millones. Los demás ayuntamientos participantes registraron ahorros menores a 10 millones de pesos.
El programa tiene como objetivo asegurar que los municipios cuenten con liquidez para cumplir sus obligaciones financieras de fin de año, incluidas nómina y prestaciones.





